Радиотехника. Повышение квалификации.

Обсуждение теоритических вопросов касающихся радио электроники, принципов работы электронных устройств и т.д. Здесь начинающие радиолюбители могут проконсультороваться по интересующим их вопросам в области электроники.

Радиотехника. Повышение квалификации.

Сообщение ua4ne » 24 июл 2018, 09:35

Уважаемые коллеги.

В этой теме будут складироваться выжимки из одноименной темы форума CQHAM.

Радиотехника. Повышение квалификации на CQHAM

В первом сообщении темы будет оглавление со ссылками для удобства навигации.

Все темы разделены на четыре большие части:
1. Радиотехнические сигналы, их свойства и характеристики.
2. Радиотехнические системы.
3. Элементы статистической радиотехники.
4. Дискретные сигналы и ЦОС.

Надеюсь, что по окончании процесса все рассмотренные темы будут оформлены в виде одной или нескольких статей и размещены на сайте при помощи RW4NW.

Прошу здесь вопросы не задавать и ничего не обсуждать, все разговоры вести в теме на форуме CQHAM
Последний раз редактировалось ua4ne 24 июл 2018, 14:20, всего редактировалось 1 раз.
73! Михаил, UA4NE
ua4ne
 
Сообщения: 757
Зарегистрирован: 12 янв 2013, 19:20
Благодарил (а): 119 раз.
Поблагодарили: 668 раз.
Позывной: ex UA4NCB EZ4NAA
Оборудование: Elecraft K3 100w, PA DN-600 (UT2FW), HexBeam RR-33 (20-15-10 Up 20m), Yagi AD-3446 (40-20-15-10 Up 50m), trap dipole (80-40), Spitfire (80), AD-W234 (WARC Up 10m)
Баллы репутации: 43

Re: Радиотехника. Повышение квалификации.

Сообщение ua4ne » 24 июл 2018, 10:14

Две формы комплексного сигнала: аналитический сигнал и комплексная огибающая. Квадратурный демодулятор.

Комплексные сигналы применяются в радиотехнике для упрощения решения различных задач в виде пары вещественных сигналов в двух синхронных каналах квадратурной обработки. В "синфазном канале" обрабатывается действительная часть Re комплексного сигнала, в "квадратурном канале" - его мнимая часть Im. В природе комплексные сигналы не существуют.

Квадратурная обработка сигналов является наиболее естественной и имеет массу достоинств. Она адекватно описывается традиционно принятыми комплексными математическими моделями еще позапрошлого века. В "аналоговую" эпоху она также применялась, но в основном не в радиолюбительской, а в профессиональной сфере. При всех достоинствах, в аналоговой реализации высокие ТХ могли быть достигнуты только за счет принятия специальных мер по стабильности и идентичности характеристик квадратурных каналов обработки. В "цифровую" эпоху все эти сдерживающие ограничения оказались снятыми. Квадратурная обработка сигналов прочно прописалась, в том числе, и в радиолюбительской среде.

Один и тот же комплексный сигнал может быть математически записан в двух разных формах - в тригонометрической форме как "псевдосумма" действительной и мнимой частей: (Re + i Im) и в показательной форме через модуль A и аргумент Ф: (A exp (i Ф)). Эти формы математически связаны между собой простыми геометрическими соотношениями.

Комплексный аналитический сигнал (А.С.) можно получить из исходного вещественного сигнала добавлением к нему мнимой части в виде сопряженного по-Гильберту дополнительного сигнала. Комплексную огибающую (К.О.) - complex envelope, можно получить из А.С. путем сдвига его спектра влево на величину (омега ноль). А можно - и более простым способом, непосредственно из вещественного сигнала при помощи схемы квадратурного демодулятора.

Если внимательно присмотреться внизу второго листа к формуле тригонометрического вида комплексной огибающей и сравнить ее с теми сигналами, что выдает квадратурный демодулятор, то мы увидим, что на его выходе как раз присутствуют две компоненты К.О. - действительная и мнимая. С точностью до константы 1/2.

Таким образом, схема квадратурного демодулятора позволяет очень простым способом получить К.О. непосредственно из исходного вещественного радиосигнала, минуя промежуточные стадии в виде А.С., т.е. минуя дорогостоящие вычисления преобразования Гильберта (это делает сложный многозвенный фильтр Гильберта высокого порядка). Но есть ограничение - эта схема не на все случаи жизни, она работает только для радиосигналов с ограниченным спектром и снизу и сверху.

Достоинство квадратурного демодулятора - точное восстановление огибающей АМ сигнала в любой момент времени. К фазовой ошибке нечувствителен. Небольшая расстройка по частоте при вычислении огибающей также допустима. Эта же самая схема квадратурного демодулятора также позволяет вычислить и фазу входного сигнала, точнее - разность фаз с местным опорным генератором. Квадратурный демодулятор является универсальным амплитудно - фазовым. Для его работы необходим когерентный с входным сигналом местный генератор. Проблема его синхронизации по частоте и по фазе с передающей частью системы связи (восстановление частоты и фазы несущей на приемной стороне) - это отдельная песня.

Пример на слайдах - решение задачи об извлечении из реального вещественного сигнала его информационных компонент - огибающей A(t) и фазы фи(t).
Вложения
Комплексные сигналы - 1.jpg
Комплексные сигналы - лист 1
Комплексные сигналы - 2.jpg
Комплексные сигналы - лист 2
Квадратурный АМ демодулятор.jpg
Квадратурный демодулятор
Последний раз редактировалось ua4ne 24 июл 2018, 11:13, всего редактировалось 2 раз(а).
73! Михаил, UA4NE
ua4ne
 
Сообщения: 757
Зарегистрирован: 12 янв 2013, 19:20
Благодарил (а): 119 раз.
Поблагодарили: 668 раз.
Позывной: ex UA4NCB EZ4NAA
Оборудование: Elecraft K3 100w, PA DN-600 (UT2FW), HexBeam RR-33 (20-15-10 Up 20m), Yagi AD-3446 (40-20-15-10 Up 50m), trap dipole (80-40), Spitfire (80), AD-W234 (WARC Up 10m)
Баллы репутации: 43

Re: Радиотехника. Повышение квалификации.

Сообщение ua4ne » 24 июл 2018, 11:00

В радиотехнике перемножители сигналов используются практически везде, я сходу даже не могу придумать той практической задачи, которая бы решалась без них. Преобразованием спектров, модуляцией и демодуляцией дело отнюдь не исчерпывается.

Большое значение в радиотехнике имеет корреляционная обработка сигналов - это когда берутся два сигнала и сравниваются между собой по степени их похожести друг на друга или по степени различия. Корреляционными методами решаются задачи обнаружения сигнала известной заранее формы (на фоне помех, есссно) и различения разных сигналов известной заранее формы (также на фоне помех). Доказано, что для случая гауссовой помехи с нормальным распределением, а это все виды природных помех, корреляционная обработка дает оптимальное решение по критерию минимальной вероятности ошибки - он же критерий максимального правдоподобия. Это доказал известный нам Владимир Котельников в 40-х годах.

Обнаружение - это принятие обоснованного решения о том, был сигнал или его не было, а если был, то привязать его ко времени (измерить задержку). Применение - в различного рода локаторах: радио-, гидро-, эхо-.

Различение - это принятие обоснованного решения о том, какой сигнал (из известного заранее набора) был принят. Применение - в том числе и в демодуляторах при принятии решения о переданном информационном символе.

Вся корреляционная обработка базируется на такой фундаментальной радиотехнической характеристике, как взаимная энергия двух сигналов. На взаимной энергии также базируется и весь спектральный анализ. По своей сути, вычисление спектра сигнала есть поочередное вычисление взаимной энергии этого сигнала и опорного (базисного) гармонического сигнала на заданном ряде частот, конечном или бесконечном. Очень важным частным случаем является такой, когда взаимная энергия двух сигналов равна нулю. Тогда говорят, что эти два сигнала ортогональны друг другу.

Если на пальцах, то смысл взаимной энергии заключается в следующем. Если в результате вычислений мы получили нулевую взаимную энергию, то эти два сигнала совсем друг на друга не похожи. Можно сказать, что в одном сигнале не содержится ни грамма или ни капли другого сигнала. Совсем. Например, нулевую взаимную энергию имеют синус и косинус на интервале, кратном их периоду. На таких интервалах времени они ортогональны (на других интервалах - нет). В частности, на этом свойстве ортогональности синуса и косинуса базируется квадратурное разложение. А на попарной ортогональности косинусов или синусов кратных периодов (частот) - базируется спектральное разложение.

Если два сигнала дают не нулевую взаимную энергию, то чем она больше по величине, тем более похожи друг на друга исследуемые сигналы. Максимальную взаимную энергию дают два максимально похожих друг на друга сигнала, и это очевидно. Такие два сигнала имеют одну и ту же форму - по сути это один и тот же сигнал. В этом случае взаимная энергия плавно превращается... плавно превращается... просто в энергию этого самого сигнала.

Таким образом, мы вплотную подошли к такой важной характеристике сигнала, как энергетическая. Она станет предметом очередной темы.
73! Михаил, UA4NE
ua4ne
 
Сообщения: 757
Зарегистрирован: 12 янв 2013, 19:20
Благодарил (а): 119 раз.
Поблагодарили: 668 раз.
Позывной: ex UA4NCB EZ4NAA
Оборудование: Elecraft K3 100w, PA DN-600 (UT2FW), HexBeam RR-33 (20-15-10 Up 20m), Yagi AD-3446 (40-20-15-10 Up 50m), trap dipole (80-40), Spitfire (80), AD-W234 (WARC Up 10m)
Баллы репутации: 43

Re: Радиотехника. Повышение квалификации.

Сообщение ua4ne » 24 июл 2018, 13:57

Энергия сигнала, взаимная энергия и спектральные разложения (обобщенные ряды Фурье).

Все эти три предмета тесно связаны между собой.

На первом слайде даны формулы для вычисления энергии вещественных и комплексных сигналов с картинкой и примером решения задачи. Дана формула для вычисления взаимной энергии двух сигналов (она же есть скалярное произведение этих сигналов).

Как видно из формул, существует всего два пути повышения энергии сигнала - либо через повышение его средней мощности, либо через увеличение его длительности. Если мощности не хватает, то радиотехнические сигналы делают длительными и относительно долго накапливают их энергию в линейных системах обработки (интеграторах или согласованных фильтрах) до уровня, достаточного для принятия обоснованного решения. Например, при решении задач обнаружения или различения слабых сигналов в шумах. При накоплении сигнала улучшается отношение сигнал-шум.

Из определения следует, что неограниченные во времени периодические сигналы имеют бесконечную энергию. Откуда следует, что дельта импульс (преобразование Фурье от неограниченной во времени синусоиды) также имеет бесконечную энергию. К счастью, оба таких сигнала являются математическими абстракциями, в природе не существуют и физически не реализуемы.

Важным частным случаем являются ортогональные сигналы, взаимная энергия которых равна нулю. На свойстве ортогональности основаны разнообразные линейные разложения сигналов в конечные и бесконечные ряды.

В качестве примера на втором слайде приведено сравнение разложения обычного геометрического вектора по координатным осям обычного геометрического пространства и разложение произвольного ограниченного во времени сигнала по координатным осям функционального (сигнального) пространства S. В обоих случаях пространства являются линейными, координатные оси являются попарно ортогональными (перпендикулярными), а численные коэффициенты разложения вычисляются через скалярное произведение.

Разница состоит лишь в том, что в реальной физической геометрии размерность пространства ограничена тремя единицами, а в воображаемых функциональных пространствах она может быть увеличена вплоть до бесконечности. Предельная размерность таких пространств зависит от того, какое количество попарно ортогональных, линейно независимых координатных осей (сигналов, функций) нам удастся найти.

Наборов базисных функций (сигналов), удовлетворяющих условию попарной ортогональности, существует великое множество. Такое разложение в самом общем виде называется обобщенным рядом Фурье. Набор чисел C(k) - коэффициентов разложения называется спектром сигнала в выбранном базисе. Конечно, в разных выбранных базисах спектры будут разными.

В частных случаях раскладывать сигналы можно по базисам разных видов:
- по синусам и косинусам (тригонометрический ряд Фурье)
- по комплексным экспонентам (комплексный ряд Фурье, в пределе - интеграл Фурье)
- по функциям вида sin x / x (ряд Котельникова)
- по импульсным функциям Уолша
- по взаимно сдвинутым импульсным дельта функциям (в пределе - интеграл Дюамеля)
- по функциям и полиномам Чебышева, Эрмита, Лагранжа, Лежандра, Лагерра и т.д. и т.п. и т.д. и т.п.

В радиотехнике для спектрального анализа используются базисы первых двух видов. Также в радиотехнике широко используются и другие базисы, выделенные цветом.

Известно так называемое "равенство Парсеваля". Физический смысл его заключается в том, что мощность сигнала равна сумме мощностей всех его спектральных компонент, которые получились при его разложении в ряд Фурье.

Если мы откинули из ряда Фурье какую-то часть спектральных компонент (например, высшие гармоники сигнала), то мощность оставшихся спектральных компонент всегда будет меньше мощности исходного полного сигнала. Это есть "неравенство Бесселя". Оно легко доказывается, если принять условием то, что и мощность и энергия в радиотехнике всегда неотрицательны.

Из неравенства Бесселя следует такое утверждение: Если сигнал ограниченной мощности раскладывается в бесконечный ряд Фурье (то есть, имеет бесконечный спектр), то мощность спектральных составляющих высшего порядка бесконечно приближается (стремится) к нулю. Математически это записывается так: lim (k -> oo) C(k)*С(k) = 0. Естественно, что и сами спектральные коэффициенты разложения C(k) также стремятся к нулю.

Если базисные функции не нормированы (то есть, имеют энергию не равную единице), то каждый найденный по формуле второго слайда коэффициент C(k) должен быть поделен на энергию соответствующей ему базисной функции.
Вложения
Энергия сигнала.jpg
Энергия и взаимная энергия сигналов
Обобщенный ряд Фурье.jpg
Обобщённый ряд Фурье
73! Михаил, UA4NE
ua4ne
 
Сообщения: 757
Зарегистрирован: 12 янв 2013, 19:20
Благодарил (а): 119 раз.
Поблагодарили: 668 раз.
Позывной: ex UA4NCB EZ4NAA
Оборудование: Elecraft K3 100w, PA DN-600 (UT2FW), HexBeam RR-33 (20-15-10 Up 20m), Yagi AD-3446 (40-20-15-10 Up 50m), trap dipole (80-40), Spitfire (80), AD-W234 (WARC Up 10m)
Баллы репутации: 43

Re: Радиотехника. Повышение квалификации.

Сообщение ua4ne » 24 июл 2018, 14:39

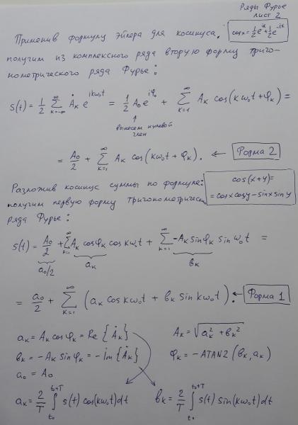
Комплексный и тригонометрический (в двух его формах) ряды Фурье.

Это продолжение и логическое развитие предыдущей темы про взаимную энергию сигналов и обобщенные ряды Фурье.

Ряды Фурье относятся к функциональным рядам. В математике "функциональный ряд" - это результат вычисления конечной или бесконечной суммы членов. В ряд Фурье раскладывается только периодический сигнал. Произвольные непериодические сигналы в ряд разложить нельзя, они раскладываются в интеграл Фурье (это предельная форма ряда при устремлении периода к бесконечности, об этом будет следующая тема). Обычно в учебниках начинают с более простых тригонометрических (вещественных) рядов. Но мы пойдём другим путём, применим дедуктивный метод познания от общего к частному и начнем с комплексного ряда Фурье. А потом из него при помощи эквивалентных преобразований выведем все остальные формы.

Физический смысл рядов Фурье - в аналитической форме найти строгое спектральное разложение сигнала по его гармоникам: синусам и косинусам кратных частот. Это означает, что у каждой спектральной составляющей (гармоники сигнала) нам нужно найти ее амплитуду и начальную фазу. Спектр периодического сигнала дискретен по частоте, и для каждой частоты спектра мы получим или два вещественных числа (амплитуду и фазу косинуса для второй формы тригонометрической ряда, или амплитуду косинуса и амплитуду синуса для первой формы тригонометрической ряда) или одно комплексное число (амплитуду и фазу в одном флаконе для комплексного ряда).

Выражение для комплексного ряда Фурье получается самым универсальными и компактным, оно описывает двусторонний спектр вещественного или комплексного периодического сигнала на бесконечной в обе стороны оси частот, то есть, и с положительными и с отрицательными частотами. При этом для вещественного сигнала спектр получается симметричным относительно нулевой частоты, а для комплексного сигнала - несимметричным. Выражения для тригонометрических рядов Фурье менее универсальны, они описывают односторонний спектр только для вещественного сигнала, при этом частота не имеет знака и условно считается положительной.

Вся математика, представленная на слайдах, основана на самой общей формуле обобщенного ряда Фурье и на общей формуле нахождения его коэффициентов, см. предыдущую "энергетическую" тему. Мы только будем подставлять в нее конкретные базисные функции - косинусы, синусы или комплексные экспоненты. Но есть одна особенность. Так как наши базисные функции не являются нормированными (на интервале периода T они ортогональны, но их энергия не равна единице), то получаемые коэффициенты ряда Фурье нам придётся отнормировать, то есть, поделить их величины на энергию базисной функции.

Нулевой номер гармоники соответствует нулевой частоте (это постоянная составляющая сигнала), для вещественного сигнала ее фаза не имеет смысла и не вычисляется. Частота первой гармоники (омега ноль) при k=1 определяется периодом сигнала Т: омега ноль = 2 * пи / T. Частоты остальных гармоник при k=2, 3, 4 и т.д. кратны частоте первой гармоники, и их частоты вычисляются по формуле (k * омега ноль). Все частоты омега - угловые, единица их измерения - радиан в секунду. Связь их с привычными герцами - через коэффициент 2 * пи.

Поиск неизвестных коэффициентов ряда Фурье для заданного сигнала - есть спектральный анализ. Обратная операция формирования сигнала из суммы его кратных по частоте спектральных компонент (собственно вычисление ряда) - есть спектральный синтез. Операции анализа и синтеза являются точными и строго обратимы. И анализ и синтез сигналов могут быть реализованы физически в железе при помощи соответствующих функциональных схем, состоящих из генераторов, перемножителей, сумматоров и накапливающих сумматоров (aka интегратор). Структура этих схем полностью вытекает из соответствующих математических моделей операций анализа и синтеза.

Нижние формулы листа 2 для коэффициентов a(k) и b(k) первой формы тригонометрического ряда могут быть получены и другим способом - подставляя базисные функции косинуса и синуса в обобщенную формулу для c(k). При этом энергия всех базисных функций независимо от величины индекса k будет одинаковой и равна T/2. Коэффициент a(0)/2 есть постоянная составляющая периодического сигнала. Она вычисляется через интеграл самого сигнала на его периоде T.
Вложения
Ряды Фурье - 1.jpg
Ряды Фурье - 2.jpg
Ряды Фурье - 3.jpg
73! Михаил, UA4NE
ua4ne
 
Сообщения: 757
Зарегистрирован: 12 янв 2013, 19:20
Благодарил (а): 119 раз.
Поблагодарили: 668 раз.
Позывной: ex UA4NCB EZ4NAA
Оборудование: Elecraft K3 100w, PA DN-600 (UT2FW), HexBeam RR-33 (20-15-10 Up 20m), Yagi AD-3446 (40-20-15-10 Up 50m), trap dipole (80-40), Spitfire (80), AD-W234 (WARC Up 10m)
Баллы репутации: 43


Вернуться в Схемотехника

Сейчас на конференции

Сейчас этот форум просматривают: нет зарегистрированных пользователей и гости: 7

cron
Яндекс.Метрика